;
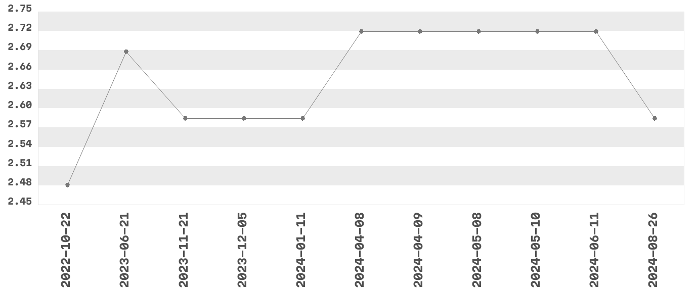
| ID | DATA SKANOWANIA | CENA (AVG) | ILOŚĆ ODCZYTÓW | MIASTO |
| 1 | 2022-10-22 | 2.49 | 1 | Racibórz |
| 2 | 2023-06-21 | 2.69 | 1 | Racibórz |
| 3 | 2023-11-21 | 2.59 | 1 | Racibórz |
| 4 | 2023-12-05 | 2.59 | 1 | Racibórz |
| 5 | 2024-01-11 | 2.59 | 1 | Racibórz |
| 6 | 2024-04-08 | 2.72 | 1 | Racibórz |
| 7 | 2024-04-09 | 2.72 | 1 | Racibórz |
| 8 | 2024-05-08 | 2.72 | 1 | Racibórz |
| 9 | 2024-05-10 | 2.72 | 1 | Racibórz |
| 10 | 2024-06-11 | 2.72 | 1 | Racibórz |
| 11 | 2024-08-26 | 2.59 | 1 | Racibórz |