;
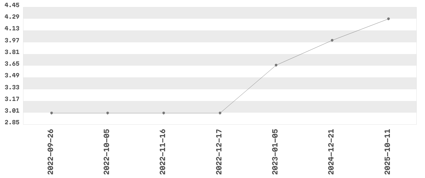
| ID | DATA SKANOWANIA | CENA (AVG) | ILOŚĆ ODCZYTÓW | MIASTO |
| 1 | 2022-09-26 | 2.99 | 1 | Racibórz |
| 2 | 2022-10-05 | 2.99 | 1 | Racibórz |
| 3 | 2022-11-16 | 2.99 | 1 | Racibórz |
| 4 | 2022-12-17 | 2.99 | 1 | Racibórz |
| 5 | 2023-01-05 | 3.65 | 1 | Racibórz |
| 6 | 2024-12-21 | 3.99 | 1 | Racibórz |
| 7 | 2025-10-11 | 4.29 | 1 | Racibórz |
| 8 | 2025-12-30 | 4.46 | 1 | Racibórz |