;
Wprowadź EAN:
Strona Główna
Produkty
Paliwa
Jak dołączyć?
Aplikacja
Zaloguj
Wyszukiwanie po EAN
Makaron szlachecki 4 jajeczny 400g
5900252000955
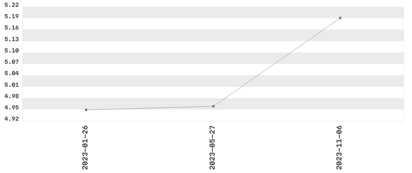
Zmiana cen na przestrzeni dni:
ID
DATA SKANOWANIA
CENA (AVG)
ILOŚĆ ODCZYTÓW
MIASTO
1
2023-01-26
4.94
1
Racibórz
2
2023-05-27
4.95
1
Racibórz
3
2023-11-06
5.19
1
Racibórz